Hoe/waarom kan het dat wanneer je het getal 9 vermenigvuldigt met een willekeurig getal, de optelsom van de getallen uit het antwoord wederom getal 9 als uitkomst hebben? (voor 4,5 geldt dit ook!)

Bart, 20 jaar
24 februari 2010

Toen ik een aantal jaar geleden wat zat te spelen met getallen op een velletje viel me dit fenomeen van het getal 9 als eerste op. Toen ik bij de andere getallen 0 t/m 8 ging kijken zag ik dat hier ook patronen in voorkomen. Dat getal 1 (1x1=1, 1x2 =2,... 1x9=9) en getal 8 (8x17=136-->1+3+6=10-->1+0=1, 8x16='2', 8x15='3', 8x9='9') maar dat de uitkomsten bij 8 precies de andere kant opgaan dan bij getal 1. Zo geldt dit ook voor 7 en 2, 6 en 3, 5 en 4 (welke telkens samen de som van 9 zijn). Hoe kan dat? En wat is dan het 'tegenovergestelde' van getal 9? Is dat nul? (dat zijn vragen die er eigenlijk ook een bijhoren maar ik denk dat het antwoord op mijn 'hoofdvraag' misschien de meeste duidelijkheid kan brengen).

Antwoord

Beste Bart,

Eerst en vooral ken je misschien de regel:

Een getal is deelbaar door 9 als de som van de cijfers van dat getal deelbaar is door 9.

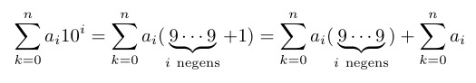
Dit valt makkelijk aan te tonen door je getal te schrijven als Σk ak 10k (je werkt immers in het tientallig stelsel, bv 1233=1*10^3+2*10^2+3*10+3). Elke macht van 10 is echter te schrijven als een aantal negens +1 (bv 1000=999+1). Zo krijgen we

Het is duidelijk dat de eerste som een negenvoud is en bijgevolg krijgen we dat het getal deelbaar is door 9 precies als de som van zijn cijfers deelbaar is door 9.

bijvoorbeeld 1233=1*(999+1)+2*(99+1)+3*(9+1)+3=999+2*99+3*9+1+2+3+3=9voud+9.

en dus 1233 is een negenvoud.

Om dus op uw eerste vraag te antwoorden: Als u 9 maal een bepaald getal doet, dan hebt u een negenvoud en dus moet ook de som van de cijfers een negenvoud zijn.

Als we dit herhaaldelijk achter elkaar sommen nemen van de cijfers totdat we 1 cijfer overhouden zullen we dus steeds een 9 overhouden aangezien dit het enige cijfer is dat deelbaar is door 9.

Voor uw andere vragen is er misschien nog wat meer wiskundige achtergrond nodig:
Het truukje '1269'=9; '1245'=3 dat u toepast levert u uiteindelijk de rest van het getal bij deling door 9 op. (tenzij de rest 0 is, dan krijgen we 9 als uitkomst). Ook dit kunt u met de bovenstaande formule begrijpen.

Vermenigvuldigen we nu een rij opeenvolgende getallen met 8, krijgen we eigenlijk een rij 8-vouden van de vorm
a, a+8, a+16, ...
Als we echter naar de resten bij deling door 9 kijken, dan krijgen we
a, a-1, a-2...
Hierdoor zal ook het rijtje uitkomsten van uw berekening steeds eentje minder worden.

Vermenigvuldigen we nu een rij opeenvolgende getallen met 7, krijgen we eigenlijk een rij 7-vouden van de vorm
a, a+7, a+14, ...
Als we echter naar de resten bij deling door 9 kijken, dan krijgen we
a, a-2, a-4...
Hierdoor zal ook het rijtje uitkomsten van uw berekening steeds twee minder worden.

Gelijkaardige dingen gebeuren bij de andere cijfers.

Met de beste groeten,

Stijn Symens


Reacties op dit antwoord

Er zijn nog geen reacties op deze vraag.

Enkel de vraagsteller en de wetenschapper kunnen reageren op een antwoord.

Zoek andere vragen

© 2008-2026
Ik heb een vraag wordt gecoördineerd door Eos wetenschap. Voor vragen over het platform kan je terecht bij ikhebeenvraag@eos.be